اگر اخیرا در مورد عصارهگیری قهوه خواندهاید ممکن است با اصطلاح «گسی» که اغلب برای توصیف قهوه با عصارهگیری ناکافی به کار میرود، آشنا باشید. این اصطلاح توصیفی است که عمدتا معنای آن به خوبی شناخته نشده است و ارزش فکر کردن به اینرا دارد که چرا ما تا این اندازه از آن در دنیای قهوهی تخصصی در مقابل دنیای نوشیدنیهای دیگر خوشمان نمیآید.
در ابتدا اجازه دهید تا حسی را که گسی دارد توصیف کنم. گسی ایجاد احساسی خشک در دهان میکند و به طور کلی بسیاری از عطر و طعمهای دیگر را ضعیف میکند خصوصا وقتی که قوی باشد (گسی). اغلب میتوان آن را در میوهها و سبزیجات خصوصا آنها که نرسیدهاند یافت، در حقیقت گسی موجود در آب انگور از دانهها و پوست انگور میآید. اگر تا به حال یک موز نرسیده خورده باشید همانطور که حس خشکی تمام صورت شما را فرا میگیرد، نمیتوانید در مقابل دندان نمایی ناشی از آن مقاومت کنید؛ در آن صورت ممکن است که متوجه منظور من شوید. به خاطر میآورم که یکی از گسترین چیزهایی که تجربه کردم گوشته اسفنجی سفیدی بود که جدا کنندهی دانهها درون میوهی انار است. یک مثال خوب دیگر از گسی چای سبز بیش عصارهگیری شده است اما آن نیز شامل عطر و طعمهای قوی دیگری میشود، پس مثال کاملی نیست.
متخصصان نوشابه گسی را لزوما به عنوان چیزی بد نمیبینند و گمان میکنم که چنین چیزی دست کم در مورد نوشابه ناشی از آن است که نسبت به قهوهی دمی بسیار غلیظتر است؛ معمولا مقدار جامد محلول در نوشابه ۱.۷% تا ۳% است، در مقایسه با قهوهی دمی که از ۱.۳% تا ۱.۵% میباشد. بنابراین گسی به راحتی هرچیز دیگری را نمیپوشاند و در عوض میتواند با مشخصههای طعمیِ کلی در تعادل باشد. ما در مورد قهوه و چای سعی میکنیم گسی را تا جای ممکن حذف کنیم زیرا میتواند به آسانی تبدیل به حسِ غالب شود و حتی میتواند به تنها چیز قابل درک تبدیل شود.
حس گسی ناشی از ترکیبات ارگانیک محلول است که متعلق به دستهای به نام پلی فنول و شامل تنینها (Tannins) و همچنین مولکولهای پیچیدهی دیگر میباشد. آنها اغلب توسط گیاهان به عنوان مکانیزم دفاعی در مقابل حشرات و دیگر شکارچیان تولید میشوند. این مولکولهای بزرگ و پیچیده میتوانند مانند قطعههای اسباب بازی لِگو به پروتئینها بچسبند و مجموعههای بزرگی را شکل دهند که میتوانند در محلول تهنشین شوند. این چیزی است که وقتی گسی را حس میکنیم اتفاق میافتد؛ پلی فنولها در بزاق دهان ما به پروتئینها میپیوندند و تهنشین میشوند و تودههایی را شکل میدهند که مانع توانایی جوانههای چشایی ما برای چشیدن قهوه به طور مناسب شده و منجر به این حس خشک و خشن میشوند.
خوشبختانه برای ما پلی فنولها اغلب مولکولهای بسیار بزرگی هستند که باعث میشود برای عصارهگیری از ذرات قهوه در مقایسه با مولکولهای کوچک مانند کافئین و اسیدهای مختلفی که ازشان لذت میبریم، سنگینتر و محکمتر باشند. چنین موضوعی در حالی که از پلی فنولها که موجب این حس گسی میشوند پرهیز میشود، عصارهگیری مولکولهای خوب را ممکن میکند. اگر قهوه را به روش غوطهوری آماده میکنید احتمالا اغلب با گسی مواجهه نمیشوید زیرا روش غوطهوری حلشدنیهای قهوه را خیلی ملایمتر عصاره میگیرد، خصوصا اگر قهوه را با درجهی درشت آسیاب کنید و خیلی هم نزنید. همچنین عصارهگیری به شکل نسبتا یکدستی اتفاق میافتد، به عبارت دیگر شما مقدار زیادی آب تازهی در حال عصارهگیری برای مقدار کمی از ذرات قهوه نخواهید داشت. به خاطر داشته باشید که آبِ تازه نسبت به آب غلیظ شده (Concentrated Water) حلال قویتری است. گرچه که قهوههای دم شده به روش غوطهوری نیز هرگز به فیلتری خوب از ذرات ریز و ترکیبات نامحلول قهوه دست نمییابند.

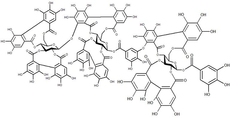
تصویر بالا: الاگیتانین، مولکول تنین مثالی از رزبری.

تصاویر بالا: اسید مالیک (راست) و کافئین (چپ) دو نمونه از ترکیبات شیمیایی کوچکتر و راحتتر برای عصارهگیری در قهوه.
اگر به طور اتفاقی شما هم درست مانند من مزهی قهوه را بدون این ذرات نامحلول ترجیح میدهید ممکن است که قهوهای که با روش چکانهای آماده شده را ترجیح دهید؛ در حالتی که آب تازه روی بستر قهوه ریخته میشود و هر جامد نامحلولی را فیلتر میکند. گرچه قهوههای دم شده به روش چکانهای بسیار بیشتر مستعد ایجاد گسی هستند زیرا میتواند کانال (یعنی جایی که مقدار زیادی از آب از مسیرهای ترجیحی عبور میکند) ایجاد شود که موجب بیش عصارهگیری از برخی مناطق کوچک در بستر قهوه شود (گاهی به آن بیش عصارهگیری موضعی میگوییم). چنین چیزی اجازه میدهد تا پلی فنولهای سنگینتر عصاره گرفته شده و منجر به گس شدن قهوهی دم شده میشود.
چیزی که نمیدانم این است که آیا پلی فنولها میتوانند توسط خود بستر قهوه فیلتر شوند یا خیر. هنگام آماده کردن قهوه به روش چکانهای بستر قهوه بسیاری از جامدات نامحول را فیلتر کرده و مانع ورود آنها به قهوهی دم شده میشود. دلیل این که چرا بستر قهوهای مملو از ذرات ریز تنها در صورتی فیلتر کاغذی را مسدود میکند که شما آن را بسیار هم بزنید همین است، اگر آن را هم نزنید بستر قهوه مانند یک فیلتر عمل کرده و این ذرات ریز را نگه میدارد و مانع انسداد فیلتر کاغذی میشود. دلیل این که چرا قهوهی دم شدهی یک وی ۶۰ از یک اِروپرس معمولی جامدات نامحلول بسیار کمتری دارد همین است، عمق بستر قهوه در مورد اروپرس معمولا خیلی کمتر است بنابراین اجازه ورود ذرات ریز بیشتری را به نوشیدنی درون فنجان میدهد.
من براساس تجربه میدانم که یک بستر معمولی قهوهی وی ۶۰ میتواند به نسبت تنها یک فیلتر کاغذی خیلی بیشتر ترکیبات را فیلتر کند، حتی در موردِ شدید “فیلترهای کاغذی درجه ۵ Whatman” که اندازههای منافذاش ۲.۵ میکرون است. گرچه اگر بسترهای قهوه چنین فیلترهای خوبی باشند مطمئن نیستم که پلی فنولهای عصاره گرفته شده و محلول در مایع بینابینی را جدا میکنند. فکر میکنم که چنین چیزی غیرمحتمل است زیرا اگرچه پلی فنولها میتوانند از دیگر ترکیبات قهوه بزرگتر باشند اما هنوز بسیار کوچکتر از یک میکرون هستند. برای مثال بعضی از تنینهای نوشابه اندازههایی در بازهی ۵۰ تا ۷۰ انگستروم دارند. اگر با این واحد آشنا نیستید یک میکرون برابر با ۱۰۰۰۰ انگستروم است و بنابراین یک بستر قهوه لازم است تا فیلتر بسیار بهتری نسبت به “فیلترهای کاغذی درجه ۵ Whatman” برای جدا کردن پلی فنولها باشد.
اگر بستر قهوه قادر به فیلتر کردن پلی فنولها باشد، به هر حال وجود یک کانال بزرگ میتواند دلیلی مضاف باشد تا به آنها (پلی فنولها) اجازه دهد در نوشیدنی ما باشند زیرا آنها مناطقی متمرکز از فیلتر بد ایجاد خواهند کرد، یعنی جایی که پلی فنولها و جامدات نامحلول عبور میکنند. این موضوع برای من سوالی جالب است زیرا به آن معناست که حتی اگر پلی فنولها به دلایل دیگر در مایع بینابینی عصاره گرفته شوند بیش عصارهگیری به طور بالقوه با بستر بدون کانال درست خواهد شد.
مجموع این ایدهی کانالها موجب میشود فیلترهای ضعیفِ متمرکز من را وادار کنند تا مقدار ذرات ریز و دیگر جامدات نامحلول در قهوههای دم شدهام را مستقیما به روشی عینی اندازهگیری کنم. این کار میتواند با کمک کدورت سنج (Turbidity Meter) انجام شود اما تا حدود یک ماه پیش فکر میکردم آنها تجهیزات به شدت گران قیمتی باشند که تنها برای آزمایشگاه ساخته شدهاند. زمانی که در اینستاگرام دیدم رِی موراکاوا در حال استفاده از چیزی بود که به نظر شبیه به کدورت سنج قابل حمل است بسیار هیجانزده شدم و او به من گفت که آنها در واقع به صرفه و قابل حمل هستند. با تشکر از بخش حمایتهای پلتفرم Patreon فورا یک عدد سفارش دادم و شروع به اندازهگیری بعضی از قهوههای دم شدهام کردم. کدورت سنج با قاعدهای متفاوت از رفرکتومتر کار میکند اما آنها اطلاعاتی به ما میدهند که به هم کمی شباهت دارند. رفرکتومترها ما را درباره غلظت جامدات محلول مطلع کرده و کدورت سنجها ما را درباره غلظت جامدات نامحلول مطلع میکنند.

یک کدورت سنج همراه با محلولهای تنظیم کنندهاش و یک نمونه قهوه.
منبع عکس: آمازون
زمان اندازهگیری کدورت متوجه چیز جالبی شدم: کدورت با خنک شدن و ماندن قهوهی دم شده بسیار سریع بالا میرود. در ابتدا این موضوع غافلگیر کننده نبود زیرا آبِ خنکتر در حل کردن مواد به خوبی عمل نمیکند بنابراین میتوانیم انتظار داشته باشیم که مقدار جامدات نامحلول با خنک شدن قهوه افزایش یابد. آنچه که بسیار جالب بود این است که حتی اگر شما قهوهی دمی را خیلی سریع تا دمای اتاق خنک کنید کدورت آن به سرعت ظرف مدت نیم ساعت افزایش مییابد و سپس برای بیش از ۱۲ ساعت این روند خیلی آهسته خواهد بود (قهوههای کهنهتر از ۱۲ ساعت را اندازه گیری نکردم). در این مورد مطمئن نیستم اما گمان میکنم این افزایش سریع کدورت در دمای اتاق ممکن است ناشی از فنولهای چسبیده به بعضی از پروتئینها باشد که از قهوه عصاره گرفته شدند. بدون شک چیزهای بسیاری وجود دارند که بر کدورت مطلق نوشیدنی قهوه اثر میگذارند خصوصا در روش غوطهوری، اما این امکان هست که سرعت افزایش آن در دمای اتاق با گسی مرتبط باشد. بنابراین با توجه به اینکه بیشتر این افزایش کدورت طی نیم ساعت یا بیشتر اتفاق میافتد، اکنون کنجکاو هستم بدانم که آیا این موضوع به این که قهوهای بعد از این که میماند مزه بدی میدهد، به هیچ وجه مرتبط است یا خیر.
مطالعه درباره پلی فنولها همچنین باعث شد تا بفهمم که شاید در پسِ کانالسازی دلیلی باشد که چرا روشهای دمی همراه با فیلتر با سابهی قهوه خیلی ریز (ریزتر از اسپرسو) اغلب مزهای گس دارند. برای مثال روشِ با عصارهگیری بالای سایفون با بعضی برشتگیهای خاص به خوبی عمل کرد و مابقی بسیار گس بودند، فارغ از اینکه آیا به ظاهر کانالسازی اتفاق افتاده بود یا نه. مثالهای دیگر شامل تعدادی قهوهی اروپرس و سایفونِ Buchner با سابهی ریز میشود که دم کرده بودم و بسیار گس بودند. فکر میکنم بعضی از قهوهها ممکن است واقعا به طور طبیعی دربرگیرندهی مقدار بسیار کمتری از پلی فنولها باشند، هرچند این موضوع میتواند به دلیل نژاد، محیط طبیعی، فراوری یا برشتهکاری باشد. بسیار ریز آسیاب کردن منجر به شکستن بیشتر سلولهای قهوه می شود و بنابراین ترکیبات شیمیایی به وسیله آب شسته میشوند (فرایندی که گاها سایش نامیده میشود) به جای اینکه مجبور به واپخش از طریق منافذ ریز در دیوارهای سلولزِ سلولهای قهوه شوند. در آن شرایط پلی فنولها ممکن است بسیار راحت به مایع بینابینی برسند و اگر بستر قهوه نتواند آنها را فیلتر کند شاید حتی در عدم حضور کانالها هم به نوشیدنی نهایی برسند.
ممکن است فکر کنید که همین مورد برای اسپرسو و قهوه ترک هم باید اتفاق افتد و احتمالا هم حق با شما است. با فرض اینکه در مورد عصارهگیری راحت پلی فنولها از سلولهای شکستهی قهوه حتی در عدم حضور کانالها من کاملا در اشتباه نباشم، فکر میکنم یا غلظت بالا و یا چیزهای دیگری که در این نوع قهوهی دم شده وجود دارند (روغنها، جامدات معلق و غیره) ممکن است وجود پلی فنولها را متعادل کرده و موجب شوند آنها با شدت کمتری گس باشند. همچنین این موضوع ممکن است بتواند توضیح دهد که چرا گرفتن یک شات اسپرسو با عصارهگیری یکدست و بالا و رقیق کردن آن درون یک قهوه دمی، فوقالعاده دشوار است.
فکر میکنم که شاید تهنشین کردن پلی فنولها با اضافه کردن پروتئینهایی پس از دم آوری در نوشیدنی نهایی یک راه امیدوار کننده باشد، بسیار شبیه به همین کار روزانه در ساختن نوشابه صورت میگیرد. بعضی چیزها که برای تهنشینی استفاده میشوند شامل سفیدهی تخم مرغ، صمغ عربی، سیلیکا ژل و محصولی به نام Polyclar است، این مواد همگی به لحاظ پروتئین غنی هستند. یک مشکل بالقوه عمدهی این است که این ترکیبات معمولا برای چندین ساعت در نوشابه باقی میمانند تا اجازه دهند که تهنشینی اتفاق افتد؛ اگر برای قهوه دمی تا این اندازه منتظر بمانیم احتمالا مزهی خیلی بدی دهد، حتی اگر تمام پلی فنولها را از آن جدا کنیم.
من میدانم که این نوشتار احتمالا پرسشهای بیشتری را مطرح میکند اما امیدوارم به ما کمک کند تا بیشتر درباره اینکه چه چیزی باعث میشود تا یک قهوهی دم شده گس شود و چطور میتوان مانع آن شد، فکر کنیم.